四川省绿色发展促进会

随着全球工业化的不断发展,许多世界各国都经历过空气污染问题。从历史上看,1930年代的马斯谷烟雾、1952年的伦敦烟雾和1943年的洛杉矶光化学烟雾都给当地经济和环境带来了严重的影响(Nemery et al., 2001; Lucier, 2003; SCAQMD, 2003 )。近年来,空气污染在一些发展中国家尤为严重。2016 年 11 月中旬,伊朗德黑兰空气中细颗粒物 (PM) 的平均浓度超过每立方米 150 微克,导致 400 多人死亡(新华社,2016a)。根据全球疾病负担 (GBD) 的报告,估计 2016 年印度约有 200 万人因空气污染而过早死亡(GBD 2015 Mortality and Causes of Death Collaborators, 2016)。
过去 20 年中国空气污染,以 PM为典型代表性,一直在增加。根据2013年发布的中国环境状况公报,2013年是52年来雾霾污染最严重的一年。2016年冬季,中东部地区出现大面积雾霾。据遥感监测数据,雾霾面积一度达到188万平方公里(新华社,2016b)。2018年初,京津冀及周边地区近10天出现区域性空气重度污染,60多个城市实施区域应急联动措施(新华社,2018)。2019年“两会”期间,北京等地继续出现中、重污染天气(环保局,2019),部分地区PM2.5浓度甚至超过300微克/立方米。空气污染干扰日常交通,减少入境旅游,危害健康,引起全社会高度关注(Wang et al., 2018a; Ni et al., 2019)。如何有效控制空气污染已成为政府、学术界和公众关注的重要问题。
从国内外经验来看,大气污染物治理主要有两大类,一是源头控制(Rosa等,2019)。例如,在分析空气成分的基础上查明污染物、污染源,采取停产、限产、技改等方法,从源头减少污染物排放。难点在于如何进行成分分析和污染源溯源。第二类是社会经济手段。如实施排污许可证制度、征税、开展排污权交易等。
在第二种方式中,当设定污染总量时,关键在于如何将排放分配给每个排放者。根据 2012 年 11 月发布的研究报告(Zhang and Crooks,2012),中国最大的 500 座城市中只有不到 1% 的城市达到了世界卫生组织推荐的空气质量标准。此外,中国占世界上十个污染最严重的城市中的七个。针对大气污染物等重要公共产品,有两种监管方式:一是税收监管(Baumol and Oates,1988),二是排放权交易(Nordhaus,2005)。排放权交易法规首先在国家或有时区域/地方层面设定环境目标,对允许排放到环境中的污染总量施加限制。该环境目标(限制)是排放交易计划的关键部分。例如,在国际上,碳排放权法规旨在通过在地方层面(国家、地区、省)分配初始排放权和市场上的贸易盈余排放权来控制碳的总排放量。这种监管类型的关键问题是每个省的初始碳权(限制)是什么?经济主体的排放权可以以排污许可证的形式进行结算,也可以对剩余排污权进行交易。在此背景下,以许可证形式规定排放权的方法被称为排放权的初始分配(Burton and Sanjour,1969,1970)。
那么大气污染物排放权的分配是排放权交易项目的一个关键组成部分。中国的环境治理实践没有考虑或定义各省大气污染物排放权的分配方式。中华人民共和国大气污染防治法第二十一条,中华人民共和国(2018年修订)规定,总量控制目标的具体确定办法和相应的控制指标,由国务院生态环境主管部门会同有关部门制定。
然而,据我们所知,如何确定每个省(市)的排放权以及它们的目标尚不清楚。基于以上思考,本文提出了双目标DEA模型,将初始污染物排放权分配给全国各地区,有助于解决排放权问题。毫无疑问,这项研究为我国排污权制度的实施和完善做出了创新的贡献。
将污染物初始排放权分配给各地区。本文从公平和效率两个角度提出了一个DEA模型。然后,以PM为例,在评估各省排放绩效的基础上分配各省的排放权。为了验证本文提出的方法的合理性,将所得结果与基于信息熵的分布结果进行比较。实证结论可为我国减少PM排放的实际工作提供新的思路和依据。
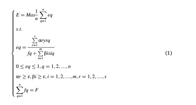
1.兼顾效率和公平的DEA模型
首先要保证经济产出效率第一。目标函数是最大化整体平均效率值,即产出与投入的比例越大越好,或者至少不应该降低该比例。其次,尽可能体现人均公平的原则,即PM分布在全国PM排放总量中的比重尽可能接近全省人口在全国总人口中的比重。最后,保证全国PM排放权的配置是优化的。
为了达到最优效率的首要目标,DEA模型根据步骤1构建:

Step 1 假设有 n 个决定单元 DMU;DMUq (q = 1, 2,…, n) 是第 q 个决策单位。而m和s分别代表投入产出指标的种类数。yrq为DMUq的第r(r =1, 2, …, s)个产出,用各省的 GDP 表示,α为产出指数对应的第r个权重。类似地,xiq是DMUq的第i (i = 1, 2, 3)个输入索引。x1q、x2q、x3q分别代表各省的资本投入、劳动力投入和能源投入,βi为投入要素指数对应的第i个权重。eq是单个 DMUq 的效率值。
fq 代表分配给 DMUq 的 PM2.5 排放权;F代表可供分配的PM2.5排放权总量;ε为无穷小常数,通常在ε=10-6(非阿基米德无穷小十进制)处计算。在DEA模型中,考虑到非阿基米德无穷小,要求每个输入指标和输出指标的权重系数必须大于0,以保证DEA的有效性。
在步骤1中,可以得到中国各省的最优效率值eq,然后通过加权平均得到目标函数中总体平均效率的最大值E*。
为了保证整体效率不降低,步骤 1 中的结果ln∑nq=1eq≥E* 是必要的约束条件之一。
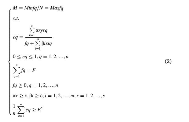
其次,求取值范围offq。分别以Minfq和Maxfq为目标函数,构建DEA模型的第2步:

步骤 2 实际上考虑了两个线性规划模型,可以分别获得 fq 的最大值和最小值。设fq的最小值为M,最大值为N,则对于所有的DMUq,可以分别得到fq的值(Mand N);如果对于 DMUq,M = N。只能得到 fq 的一个值 (M = N)。DMUq 的 PM2.5 排放权的分配是唯一确定的。
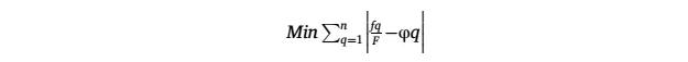
最后计算决策单元的分配fq。引入公平原则,使各省PM2.5排放权分配(fq)与PM2.5排放权总量(F)的比例尽可能接近各省人口比重 到该国的总人口,用函数表示如下:

在函数中,p 是国家的总人口,pq 是第 q 个省的人口。函数最小值

表明各省PM2.5排放权占全国总排放权的比例接近该省人口占全国总人口的比例,即公平目标。
进入第 3 步:

在步骤3中,φq和F是已知量,Z*和fq可以计算。Z*表示步骤3中目标函数的最优值。通过求解步骤3,一些决策单元可以获得多个fq值,通过步骤2满足fq:

因此,可以确定 fq 的唯一解。
步骤 1-3 的分配过程如下:步骤 1 中,在 PM2.5 排放总量为中国的权利是确定的,但每个决策单位的 PM2.5 排放权值没有确定。第二步和第三步,在保证整体平均效率不降低情况下,公平(各省PM2.5排放权占全国总排放权的比例接近该省人口占全国总人口的比例)作为目标函数来分配各省的特定排放量。
个别决策单位一经建立的排放量;可以得到单位值的效率。最终可以依次得到30个省对应的效率值eq*(q =1, 2, …, 30)。毕竟,通过加权平均效率得到的这些值,以及整体平均,应该大于或等于模型1的整体效率平均值,从而提高效率和公平性。
将步骤 2 和步骤 3 中得到的所有 fq 值结合起来,即30个省的PM2.5排放权数量同时具有效率和公平目标。以上三个步骤构成了兼顾效率和公平目标的DEA模型。
2.信息熵方法
信息熵方法最早由香农提出,可用于分配决策指标的权重,更能反映指标的分化程度(例如宋等人,2017;曾和王,2017)。此外,信息熵方法获得的权重比层次分析法获得的权重更客观(杨和任,2019)。
因此,本文选择它作为比较研究的方法。信息熵法通过比较指标数据提供的信息量,确定指标的相对重要性,然后客观地赋予各个指标权重。最后根据权重分配PM2.5的特定排放权。
根据 DEA 模型(见公式(1)-(5))和信息采用效率与公平相结合的熵值法,计算得到两套PM2.5排放权省际分配方案。结果如表5所示。

从表5可以看出,从初始排放权效率值来看,2016年中国各省PM2.5排放权效率平均值为0.7575,各省初始排放权效率值之差为明显。大致可以分为三类。第一类是北京、广东、天津和湖南,现有效率高于平均水平。第二类,河北、内蒙古、河南、湖北、广西、吉林、黑龙江、上海、江苏、浙江、安徽、福建的排放效率均在总体平均水平附近效率。第三类是山西、辽宁、江西、山东、海南、重庆、四川、贵州、云南、陕西、甘肃、清海、宁夏、新疆等14个省份的效率值均低于平均效率。
基于DEA模型和信息熵权法,排放权跨省分配存在明显差异,但前者更公平、更高效、更可行。
(1)DEA模型的分配方案更高效
从表5倒数第二行效率值的平均值E看出:
E(DEA)>E(信息熵)>E(original),一方面,无论是基于效率和公平的DEA模型还是信息熵权重分配方法,分配后的PM2.5排放权都提高了全国的整体平均效率,即分配后的整体性能水平高于分配前。
E(DEA)>E(信息熵),说明对于信息熵方法,DEA模型对提高整体输出效率有较好的效果。也就是说,为了达到同样的效率值,DEA模型所要求的PM2.5减排量比信息熵法要低,而且减排任务轻,意味着减排成本更低。
(2)DEA模型的分配方案更可行
变异系数可作为衡量省际PM2.5分布结果差异的有效指标。将各组分配的PM2.5数据(⑧-⑨线)的标准差与其平均值进行比较,即可得到两组变异系数的数值。根据计算,在基于DEA模型的分配方案中,各省排放配额分配结果的变异系数为0.39,在基于信息熵法的分配方案中,变异系数为0.41,略大波动程度。这说明DEA模型缓解了信息熵缺口大的问题。在一定程度上,资源分配的方法,每个分配单元更可能接受差距相对较小的方案。
(3)DEA模型的分配方案更加公平
采用基尼系数法进一步比较兼顾效率和公平性的DEA模型与PM2.5排放权分配信息熵法的公平性。这里,“公平”被定义为“人均分配公平”。以人口参数为评价指标,计算各省单位人口PM2.5排放权分布(各省PM2.5排放权分布与全省人口之比),然后从小到大计算各省人口百分比和PM2.5排放权分布。然后,得到各省PM2.5排放权分布的环境基尼系数值。

如表6所示,以人口为指标的环境基尼系数,对应的DEA模型和信息熵权重法分别为0.47和0.51。因此,以人口参数作为评价指标时,DEA模型得到的环境基尼系数更小、更公平。
大气污染物排放权分配问题兼顾公平和效率是一个新的且具有挑战性的问题。首先,大气污染物排放权的分配与大气污染物的特性有关。大气污染物的产生、组合和传播与大气污染物产生地的资源环境有很大关系。因此,学者多从大气污染物的产生和来源入手,研究地方治理。很少有学者从宏观角度对各排放单位的排放绩效进行评价,对排放权的分配进行研究。
二是与国情有关。文献大多研究市场驱动的排放权交易问题,而对指令控制的大气污染物排放权分配的研究较少。此外,据我们所知,在分配排放权的决策问题中,还没有公开的文献解决公平效率的平衡问题。本文创新性地构建了面向效率和公平的DEA模型,并通过实证研究来验证所提出的方法。它从宏观角度评价大气污染物的排放性能,分配排放权,并以中国这个世界上人口最多的国家为例进行实证研究并验证所提出的方法。特别是构建了双目标DEA模型对2016年中国30个省份的PM2.5排放权进行分配,然后构建基于人口评价指标的环境基尼系数对两种方案进行比较。处理排放交易计划的政策和决策者面临在国家或地区/地方层面设定环境目标的问题。作为这些计划部署的一部分,有必要对位于一个国家不同地区的污染源向环境排放的污染总量进行限制。我们的建议可以帮助政策制定者和决策者定义和定量分配这些限制。
提议的方法可以帮助决策者和政策制定者在公众对环境正义和公平日益关注的情况下发挥领导作用,提供一个工具来分析在关于如何分配排放权的讨论中平衡效率和公平的影响。
主要结论如下:
(1)本文构建的双目标DEA模型综合考虑了人口、环境承载力等因素,比只追求效率最大化的分配方案更加合理公平;同时,丰富了DEA模型的方法研究,可以为资源环境政策的绩效评价提供分析工具。
(2) 基于DEA法的分配方案更公平,效率更高,波动性更小。与初期实际排放相比,中西部地区和经济落后地区的 PM2.5 排放权应减少,如云南、宁夏、内蒙古、辽宁、吉林、安徽、甘肃、河南、湖北、海南、贵州、河北、陕西、山东、青海、山西、新疆。东部和经济发达地区,如北京、天津、上海、江苏、浙江、福建、江西、广东和四川等省,享有比以前更多的PM2.5排放权。